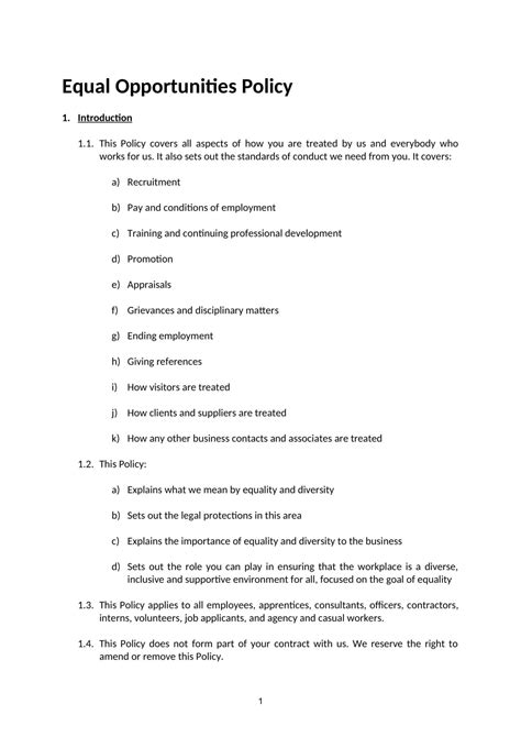
Non Discrimination Policy Template for Nonprofit

A non-discrimination policy is a formal statement that a nonprofit organization will not discriminate against any person on the basis of race, color, religion, national origin, gender, age, disability, sexual orientation, or any other characteristic protected by law. This policy should be included in the organization’s bylaws or governing documents and should be communicated to all employees, volunteers, and stakeholders.

A non-discrimination policy is an important part of creating a welcoming and inclusive environment for all. It can help to prevent discrimination and harassment, and it can also help to ensure that the organization is compliant with the law. Nonprofit organizations that receive federal funding are required to have a non-discrimination policy in place.

non discrimination policy template for nonprofit

What to Include in a Non Discrimination Policy

A non-discrimination policy should include the following:

1. A statement that the organization will not discriminate against any person on the basis of race, color, religion, national origin, gender, age, disability, sexual orientation, or any other characteristic protected by law.

2. A description of the types of discrimination that are prohibited.

3. A statement that the organization will take appropriate action to prevent and address discrimination.

4. A procedure for employees, volunteers, and stakeholders to report discrimination.

5. A statement that the organization will provide training on non-discrimination to all employees and volunteers.

6. A statement that the organization will review and update its non-discrimination policy on a regular basis.

Benefits of Having a Non Discrimination Policy

There are many benefits to having a non-discrimination policy, including:

1. It can help to prevent discrimination and harassment.

2. It can help to create a welcoming and inclusive environment for all.

3. It can help to ensure that the organization is compliant with the law.

4. It can help to attract and retain employees and volunteers.

5. It can help to improve the organization’s reputation.

6. It can help to increase the organization’s effectiveness and productivity.

Conclusion

A non-discrimination policy is an important part of creating a welcoming and inclusive environment for all. It can help to prevent discrimination and harassment, and it can also help to ensure that the organization is compliant with the law. Nonprofit organizations that receive federal funding are required to have a non-discrimination policy in place. However, even if your organization does not receive federal funding, it is still a good idea to have a non-discrimination policy in place.

A non-discrimination policy is a valuable tool that can help to protect your organization from discrimination lawsuits and can also help to create a more positive and productive work environment.

FAQ

1. What are the key elements of a non-discrimination policy?

The key elements of a non-discrimination policy include a statement that the organization will not discriminate against any person on the basis of race, color, religion, national origin, gender, age, disability, sexual orientation, or any other characteristic protected by law, a description of the types of discrimination that are prohibited, a statement that the organization will take appropriate action to prevent and address discrimination, a procedure for employees, volunteers, and stakeholders to report discrimination, a statement that the organization will provide training on non-discrimination to all employees and volunteers, and a statement that the organization will review and update its non-discrimination policy on a regular basis.

2. Why is it important for nonprofits to have a non-discrimination policy?

Nonprofits that receive federal funding are required to have a non-discrimination policy in place. However, even if your organization does not receive federal funding, it is still a good idea to have a non-discrimination policy in place. A non-discrimination policy can help to prevent discrimination and harassment, and it can also help to create a welcoming and inclusive environment for all. A non-discrimination policy can also help to attract and retain employees and volunteers, improve the organization’s reputation, and increase the organization’s effectiveness and productivity.

3. How can I create a non-discrimination policy for my nonprofit?

There are many resources available to help you create a non-discrimination policy for your nonprofit. You can find sample policies online, or you can consult with an attorney or human resources professional. Once you have created a non-discrimination policy, it is important to communicate it to all employees, volunteers, and stakeholders. You should also provide training on non-discrimination to all employees and volunteers. It is also important to review and update your non-discrimination policy on a regular basis.